Ch1. Wave Motion(1)- 빛, 파동
빛
빛은 입자이며 파동이다.
빛은 파동이기 때문에 보강과 간섭이 작동하며, 빛은 입자이기도 하므로 빛의 양을 어둡게 하여 입자성을 확인할 수 있다.
파동
매질을 통해 운동이나 에너지가 전달되는 현상
물리적으로 위치를 이동하는게 아니라 변화와 섭동만 움직이고 매질은 상하로 움직일 뿐이다.
초음파와 횡파
종파(Longitudinal wave) : 섭동의 방향이 파동의 진행방향과 같은 파동
횡파(Transverse wave) : 섭동의 방향이 파동의 진행방향과 수직인 파동
파동방정식
1차원 파동방정식
1차원에서 속력이 일정한 파동.
파동의 진행방향은 x, 진행속도는 v이라고 하자.
매질은 상하로 움직일 뿐이므로 시간 t가 흐른 후의 펄스는 vt만큼 이동한 파동으로 볼 수 있다.
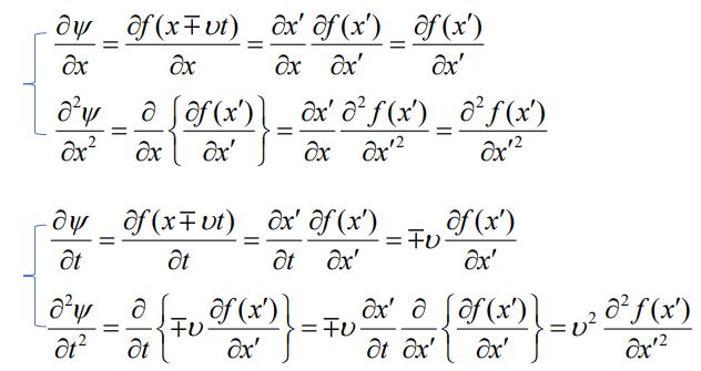
편미분을 이용한 1차원 파동방정식
파동함수를 미분방정식으로 표현하기 위해서 x-domain과 t-domain에서 각각 편미분을 하여 관계를 확인한다.
편미분을 통해 주어진 함수가 파동방정식인지 확인할 수 있다.